Lowongan Kerja Non Pns Badan Pertanahan Nasional Minimal S1 Februari 2021
Lowongan Kerja Non Pns Badan Pertanahan Nasional Minimal S1 Februari 2021
Lowongan Kerja Pelaut Update 6 Januari 2021
Lowongan Kerja Lowongan Kerja Pt Angkasa Pura Support Lombok Januari 2021
Lowongan Kerja Lowongan Kerja Pt Angkasa Pura Support Lombok Januari 2021
Lowongan Kerja Pelaut Update 6 Januari 2021
Lowongan Kerja Lowongan Kerja Pt Angkasa Pura Support Lombok Januari 2021
Waspada Minggu 25 Oktober 2020 By Harian Waspada Issuu
Wasapada 14 Agustus 2009 By Harian Waspada Issuu
Lowongan Pekerjaan Untuk Tenaga Kesehatan Jurusan Rmik
Lowongan Kerja Pelaut Update 6 Januari 2021
Aroma Adf 190a User Manual Manualzz
Https Fisip Ub Ac Id Wp Content Uploads 2020 10 Buku Pedoman Pendidikan Fisip Ub 2020 Pdf
Waspada Selasa 3 Mei 2016 By Harian Waspada Issuu
Waspada Sabtu 21 Agustus 2010 By Harian Waspada Issuu
Pikir Wisnu W English Competence Needed By Nursing Department Students Bahasa Indonesia Bahasa Inggris
Http Manajemen Fe Um Ac Id Wp Content Uploads 2019 09 Book Chapter Snmpb1 Manajemen Fe Um 2019 Pdf
Waspada Kamis 16 Februari 2017 By Harian Waspada Issuu
Harian Nasional By Harian Nasional Issuu
Kedutaan Atau Konsulat Indonesia Di Luar Negeri Daftar Alamat Email
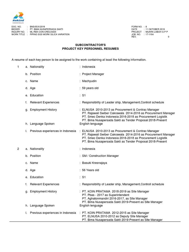
Form 8 1 Pdf Pipeline Transport Technology Engineering
Banner Maroc Jean Francois Allard Dubai Khalifa
M E D I A I N D O N E S I A C O M Jujur Bersuara Kamis 18 November 2010 No Tahun Xli 28 Halaman Pdf Free Download
Mediaindonesia 24 04 2018 24042018195200 By Oppah Issuu
Strategi Perang Salib Dalam Gerakan Is Studi Kasus Atas Majalah Dabiq Dan Rumiyah Skripsi Diajukan Untuk Memenuhi Persyaratan Memperoleh Pdf Download Gratis
Melindungi Negara Dari Ancaman Neoliberal
Liga Inggris Di Stadion St Mary Semalam Martial Mencetak Dua Gol Yang Membawa Mu Menang 3 2 Satu Gol Mu Lainnya Dilesakkan Juan Mata Pdf Free Download
Toy Fair New York Informasi Paling Anyar Babagan Toy Fair New York Penggilingan Million
Britania Romawi Andrafarm Pusat Ensiklopedia Online
Liga Inggris Di Stadion St Mary Semalam Martial Mencetak Dua Gol Yang Membawa Mu Menang 3 2 Satu Gol Mu Lainnya Dilesakkan Juan Mata Pdf Free Download
The Road To Academic Excellence Pendirian Universitas Riset Kelas Dunia Philip G Altbach
03 Buku Panduan Sekolah Aswaja
Geopark Ciletuh Sukabumi Sejahtera Pdf Free Download
Http Manajemen Fe Um Ac Id Wp Content Uploads 2019 09 Book Chapter Snmpb1 Manajemen Fe Um 2019 Pdf
Muridnya Oknum Guru Ngaji Diduga Cabuli Dirut Pt Aka Ngaku Tak Tau Apa Apa Pdf Free Download
Buset Vol 04 44 Februari 2009 Edition
Shen Yun Performing Arts Tiket Shen Yun Performing Arts
Ruang Lingkup Dan Definisi Sosiologi Juga Akan Diperkenalkan Tentang Definisi Dari Pendidikan Dubai Khalifa
Britania Romawi Andrafarm Pusat Ensiklopedia Online
Dibegal Agen Pulsa Ini Kerugian Akibat Gunung Agung Capai Rp 19 Triliun Aktif Ikut Ekshibisi Hingga Jadi Juru Damai Kebijakan Pdf Free Download
Http Manajemen Fe Um Ac Id Wp Content Uploads 2019 09 Book Chapter Snmpb1 Manajemen Fe Um 2019 Pdf
Tahun 67 No 334 Terbit 20 Halaman Pdf Free Download
Perlu Diketahui Belajar Di Korea Selatan
Tentang Penggunaan Istilah Keagamaan
Strategi Perang Salib Dalam Gerakan Is Studi Kasus Atas Majalah Dabiq Dan Rumiyah Skripsi Diajukan Untuk Memenuhi Persyaratan Memperoleh Pdf Download Gratis
The Airlines Of Indonesia Garuda Indonesia
Pks Dibiarkan Berjoget Majelis Syura Bantah Ada Perpecahan Van Gaal Puji Kurnia Meiga Pdf Download Gratis
10 Buku Panduan Sekolah Aswaja 2 Pdf
Strategi Perang Salib Dalam Gerakan Is Studi Kasus Atas Majalah Dabiq Dan Rumiyah Skripsi Diajukan Untuk Memenuhi Persyaratan Memperoleh Pdf Download Gratis
The Airlines Of Indonesia Garuda Indonesia
Empat Ukm Di Toraja Terpilih Calon Mitra Pt Telkom Witel Sulselbar Torajadaily Com
Pks Dibiarkan Berjoget Majelis Syura Bantah Ada Perpecahan Van Gaal Puji Kurnia Meiga Pdf Download Gratis
Home Kabarpenumpang Comkabarpenumpang Com
Coworking Space On Cekindo Business Center Semarang Semarang Book Online Coworker
Empat Ukm Di Toraja Terpilih Calon Mitra Pt Telkom Witel Sulselbar Torajadaily Com
Surat Kabar Apakah Surat Kabar Akan Mati Halaman All Kompasiana Com Berdiri Pada Tanggal 19 Agustus Surat Kabar Inilah Yang Pertama Kali Dan Berani Memuat Berita Proklamasi Kemerdekaan
The Airlines Of Indonesia Garuda Indonesia
Https Anri Go Id Download Inventaris Arsip Tekstual Sekretariat Negara Kabinet Perdana Menteri Ri 19501959 Jilid I 1587011841
The Fault In Our Stars By John Green Buku Alat Tulis Buku Di Carousell
Shen Yun Performing Arts Tiket Shen Yun Performing Arts
Fiji Juta Pembuat Fiji Yang Terjangkau Fiji Dengan Biaya Rendah Layanan Bisnis Terbaik Fiji Layanan Imigrasi Fiji Aplikasi Izin Kerja Fiji Layanan Izin Kerja Fiji Layanan Kependudukan Fiji Agen Izin Kerja
Aleksander Agung Www Andrafarm Co Id Collection Of World Cyclopedia
Banner Maroc Jean Francois Allard Dubai Khalifa
Shen Yun Performing Arts Tiket Shen Yun Performing Arts
Motivasi Archives Laman 2 Dari 3 Wilter Co Id
Motivasi Archives Laman 2 Dari 3 Wilter Co Id
Http Manajemen Fe Um Ac Id Wp Content Uploads 2019 09 Book Chapter Snmpb1 Manajemen Fe Um 2019 Pdf
Motivasi Archives Laman 2 Dari 3 Wilter Co Id
Pemkab Banyumas Segera Bangun Pasar Proliman Dan Kemukusan Patroli Cyber
Bagaimana Cara Memulai Bisnis Di Luxembourg
Selasa 17 April 2012 By Andri Wiguna Issuu
Top 8 Most Popular Lampu Belakang Supra X Brands And Get Free Shipping 01nd0156
Motivasi Archives Laman 2 Dari 3 Wilter Co Id
Home Kabarpenumpang Comkabarpenumpang Com
Doc Ringkasan Materi Fix Nur Hanifah Academia Edu
Motivasi Archives Laman 2 Dari 3 Wilter Co Id














0 comments:
Post a Comment